HMMs for Rainfall Downscaling


CEVE 543 - Fall 2025

2025-11-05

Today’s Paper

Robertson, Kirshner, and Smyth (2004):

Robertson, Andrew W., Sergey Kirshner, and Padhraic Smyth. 2004. “Downscaling of Daily Rainfall Occurrence over Northeast Brazil Using a Hidden Markov Model.” Journal of Climate 17 (22): 4407–24. https://doi.org/10.1175/jcli-3216.1.

Planned Questions

  • Planned Questions

  • All Other Figures and Tables

Q1: NHMM vs HMM (EA)

  1. The HMM was intended to describe the nature of the Northeast Brazil monsoon by interpreting the four identified hidden States 1, 2, 3, and 4 (and their related pairs). Did it accomplish this? How could the HMM method be improved?
  2. How effectively does the NHMM downscale seasonal-mean GCM simulations to local daily rainfall?

Q2 (ZL)

  1. How might differences in elevation and topographic setting among the 10 rainfall stations, as shown in Figure 1, influence the interpretation of the hidden rainfall states, particularly where the HMM may not fully capture local topographic rainfall enhancement or rain shadow effects?
  2. Why was Ceará in Northeast Brazil selected as the study region for analyzing daily rainfall variability using a Hidden Markov Model, and what makes it a representative case of strong seasonal rainfall contrast?

Table 1 (MM)

Figs 4-5 (FH)

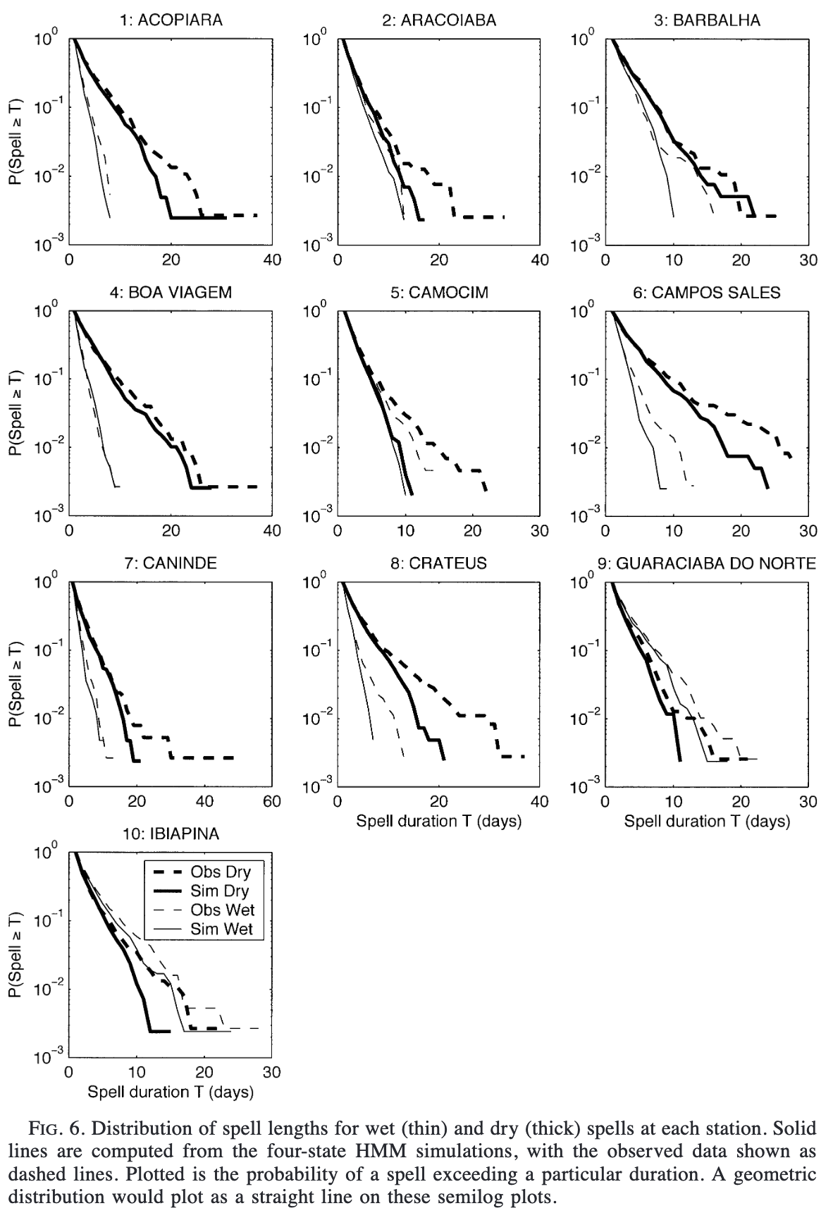
Fig 6

Fig 9

Figs 10-11

Figs 19-20

All Other Figures and Tables

  • Planned Questions

  • All Other Figures and Tables

Figure 1

Figure 2

Figure 3

Figure 4

Figure 5

Figure 6

Figure 7

Figure 8

Figure 9

Figure 10

Figure 11

Figure 12

Figure 13

Figure 14

Figure 15

Figure 16

Figure 17

Figure 18

Figure 19

Figure 20

Table 1

Table 2